Формирование звезды

Формирование звезды (образование звезды) — начальная стадия эволюции звёзд, при которой межзвёздное облако превращается в звезду. При этом процессе облако сжимается и фрагментируется, оказывается непрозрачным для собственного излучения и становится протозвездой. На этой стадии на протозвезду аккрецирует вещество внешних частей облака, а когда аккреция завершается, оно становится звездой до главной последовательности, излучающей за счёт собственного сжатия. Постепенно в ядре звезды начинаются термоядерные реакции, после чего формирование завершается и звезда переходит на главную последовательность.
Процесс

Термин «формирование звезды», или «образование звезды» относят к процессу возникновения одиночной звезды, в то время как «звездообразование» обычно означает крупномасштабный процесс появления звёзд в галактике[1]. Тем не менее, иногда звездообразованием называют оба этих процесса[2].
Сжатие молекулярного облака

Межзвёздная среда в галактиках состоит в основном из водорода и гелия, по числу атомов этих элементов, соответственно, на 90 % и 10 %. Кроме того, около процента её массы составляет межзвёздная пыль. В большинстве областей температура составляет от 100 до 106 K, а концентрация частиц — от 10−3 до 10 см−3. В межзвёздной среде встречаются гигантские молекулярные облака с массой 105—106 M⊙, температурой от 10 до 100 K и концентрацией от 10 до 100 см−3, которые и становятся областями звездообразования[3][4].
При развитии гравитационной неустойчивости облако может начать сжиматься. Неустойчивость может быть вызвана различными факторами, например, столкновением двух облаков, прохождением облака через плотный рукав спиральной галактики или же взрывом сверхновой звезды на достаточно близком расстоянии, ударная волна которого может столкнуться с молекулярным облаком. Кроме того, при столкновениях галактик начинают чаще происходить столкновения газовых облаков, что объясняет увеличение темпа звёздообразования[5].
Согласно теореме о вириале, облако устойчиво в том случае, когда сумма удвоенной кинетической энергии и потенциальной равна нулю. Если же эта сумма меньше нуля, то имеет место гравитационная неустойчивость. При постоянной плотности облака радиусом модуль потенциальной энергии (сама она отрицательна) растёт пропорционально , а сумма значений кинетической энергии всех молекул — пропорционально . Следовательно, достаточно большое облако будет сжиматься. Если считать облако сферическим и не вращающимся, то при массе облака , радиусе , молярной массе его газа и температуре можно записать условие, при котором облако будет сжиматься[6][7]:
- ,
где — гравитационная постоянная, — универсальная газовая постоянная. Если выразить , где — плотность облака, получится условие[7]:
- .
Величина называется массой Джинса. Для условий, которые наблюдаются в молекулярных облаках, она составляет 103—105 M⊙. По мере сжатия облако должно уплотняться и нагреваться, но пока облако прозрачно для излучения, нагретый газ и пыль излучают энергию и таким образом охлаждаются[6][8].
По этой причине сжатие происходит с хорошей точностью изотермически. Из-за увеличения плотности облака масса Джинса уменьшается при сжатии, и в облаке выделяются части меньшего размера и массы, которые начинают сжиматься отдельно друг от друга. Этот процесс называется фрагментацией облака звёздообразования, причём фрагментация может происходить многократно, до тех пор, пока облако не станет непрозрачным для собственного излучения, что значительно замедлит процесс охлаждения и остановит уменьшение массы Джинса. Это объясняет, что звёзды формируются в основном группами. Далеко не всё вещество облака в конечном итоге превращается в звёзды: в среднем, если в звёзды перейдёт более 30 % массы облака, то сформируется гравитационно связанное звёздное скопление, но чаще всего эффективность звездообразования оказывается меньше и образуются звёздные ассоциации[6][9][10].
Кроме того, явление фрагментации объясняет, почему массы звёзд значительно меньше, чем масса Джинса для исходного облака. Минимальная масса облака, способного образоваться в результате фрагментации, составляет порядка 10−2 M⊙. Однако если в веществе облака содержание элементов тяжелее гелия очень мало, то охлаждение идёт гораздо менее эффективно, и облако фрагментируется гораздо слабее. Считается, что именно по такому сценарию формировались самые первые звёзды из вещества, образовавшегося при первичном нуклеосинтезе: эти звёзды должны были иметь массы в основном не менее 100 M⊙ и существовать очень короткий срок[6][9][11].
Облака, которые уже начали сжиматься, часто наблюдаются как глобулы — тёмные туманности с массами порядка 100 M⊙ и размерами порядка парсека. Иногда в них присутствуют и более близкие к завершению формирования объекты: звёзды типа T Тельца и объекты Хербига — Аро[12].
Стадия протозвезды

1 — свободно падающее вещество
2 — фотосфера, излучающая в инфракрасном диапазоне
3 — непрозрачная газопылевая оболочка
4 — фронт ударной волны
5 — гидростатически равновесное ядро
Сжатие облака происходит неравномерно, и через некоторое время после начала сжатия в облаке формируется гидростатически равновесное ядро — обычно считается, что с этого момента ядро облака является протозвездой[9][13]. Практически вне зависимости от массы облака, масса ядра будет составлять 0,01 M⊙, радиус — несколько а.е., а температура в центре — 200 K. Аккреция внешних слоёв облака на ядро приводит к росту его массы и температуры, но при температуре в 2000 K её рост останавливается, так как энергия уходит на распад молекул водорода. В какой-то момент равновесие нарушается и ядро начинает сжиматься. Следующее равновесное состояние достигается для более маленького, теперь уже ионизованного ядра с массой 0,001 M⊙, радиусом около 1 R⊙ и температурой 2⋅104 K. При этом ядро, излучающее в оптическом диапазоне, скрыто от окружающего пространства оболочкой, которая имеет гораздо меньшую температуру и излучает только в инфракрасном диапазоне[9][14].
Аккреция внешних слоёв продолжается, а падающее на ядро со скоростью 15 км/с вещество образует ударную волну. На ядро падает вещество сферической оболочки, ионизуется, и когда большая часть материала попадает на протозвезду, она становится доступной для наблюдения[15]. До этого момента сжатие внешней оболочки идёт по динамической временной шкале, то есть её длительность соответствует длительности свободного падения вещества, которому не препятствует давление газа[16].
У протозвёзд достаточно большой массы возрастающее давление излучения и звёздный ветер сдувают часть вещества оболочки, при этом может образоваться объект Хербига — Аро[10][15][17]. Кроме того, у протозвезды ещё может остаться протопланетный диск, состоящий из вещества, которое не аккрецировало на звезду; он впоследствии может эволюционировать в планетную систему[14][18]. Процесс формирования планет наблюдается, например, у звезды HL Тельца[19].

Стадия звезды до главной последовательности

Протозвёзды, у которых уже закончилась аккреция оболочек, иногда выделяются в отдельный тип: звёзды до главной последовательности. В англоязычной литературе такие объекты уже не называются протозвёздами, но существует термин «молодой звёздный объект» (англ. young stellar object), объединяющий протозвёзды и звёзды до главной последовательности[14][20].
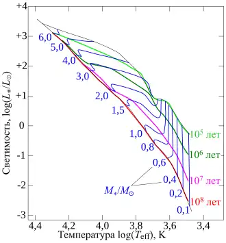
Положение протозвезды на этом этапе можно отметить на Диаграмме Герцшпрунга — Рассела: протозвезда, имеющая низкую температуру и высокую светимость, находится в её верхней правой части. Пока в звезде не начались термоядерные реакции и она выделяет энергию за счёт гравитационного сжатия, она медленно движется к главной последовательности[14][9][15].
Так как эти тела поддерживаются собственным давлением, они сжимаются гораздо медленнее, чем на предыдущей стадии, — в тепловой временной шкале, то есть за период, в течение которого половина потенциальной гравитационной энергии израсходуется на излучение[16]. У самых массивных звёзд она занимает около 105 лет, а у наименее массивных — порядка 109 лет. Для Солнца эта стадия продлилась 30 миллионов лет[9][21][22][23].
Существует качественное различие между протозвёздами разной массы: протозвёзды с массой менее 3 M⊙ имеют конвективную зону, распространяющуюся на всю глубину, а с большей массой — нет. Это различие приводит к различиям на поздних стадиях эволюции звёзд[9][24].
В 1961 году Тюсиро Хаяси (Хаяши) показал, что если весь объём звезды занимает конвективная зона, то при медленном сжатии её температура практически не меняется, а светимость падает — это соответствует движению текущего положения звезды вертикально вниз на диаграмме, и такой путь звезды принято называть треком Хаяши. Звёзды с массами в диапазоне от 0,3—0,5 M⊙ (по разным оценкам) до 3 M⊙ в течение сжатия перестают иметь конвективные слои и в какой-то момент сходят с трека Хаяши, в то время как звёзды с массами менее 0,3—0,5 M⊙ находятся на треке Хаяши на протяжении всего времени сжатия[9][25][26].
После схода с трека Хаяши (для звёзд промежуточной массы) или с самого начала медленного сжатия (для массивных звёзд) звезда перестаёт быть конвективной и при сжатии начинает нагреваться, при этом светимость меняется незначительно. Это соответствует движению влево на диаграмме, и эта часть пути называется треком Хеньи[25][26][27].
В любом случае, в ходе сжатия температура в центре звезды возрастает, и в ядре звезды начинают протекать термоядерные реакции — у звёзд малой и средней массы спустя некоторое время после начала сжатия, а у звёзд с массой более 8 M⊙ — ещё до того, как прекратится аккреция[28]. На ранних этапах это превращение лития и бериллия в гелий, и эти реакции производят меньше энергии, чем излучает звезда. Сжатие продолжается, но доля термоядерных реакций в выделении энергии увеличивается, ядро продолжает нагреваться, и когда температура достигает 3—4 миллионов K, начинается превращение водорода в гелий в p-p цикле[13].
В некоторый момент, если звезда имеет массу больше 0,07—0,08 M⊙, выделение энергии за счёт термоядерных реакций сравнивается со светимостью звезды и сжатие прекращается — этот момент считается моментом окончания формирования звезды и её перехода на главную последовательность. Если звезда имеет массу менее этого значения, то в ней тоже какое-то время могут идти термоядерные реакции, однако вещество звезды в ядре становится вырожденным раньше, чем прекращается сжатие, поэтому термоядерные реакции никогда не становятся единственным источником энергии, а сжатие не прекращается. Такие объекты называются коричневыми карликами[9][29][30].
История изучения
Первые научно обоснованные идеи о формировании звёзд были сформулированы в 1644 году Рене Декартом, который полагал, что звёзды и планеты формируются при вихревом движении межзвёздной среды[2][31].
В 1692 году Исаак Ньютон предположил, что под действием гравитации вещество может сгущаться и образовывать звёзды. Хотя подобные гипотезы возникали и до Ньютона, только с открытием закона всемирного тяготения эти идеи получили под собой физическое обоснование. В то же время открывались диффузные туманности, которые представлялись как сгущающееся дозвёздное вещество. На основе этих соображений появилась подробно сформулированная гипотеза Канта — Лапласа — Шмидта, согласно которой основным механизмом формирования звёзд и планетных систем является сжатие вращающихся облаков[2][32].
В течение следующих двух веков постепенно накапливалась наблюдательная информация о различных туманностях, которую учёные пытались свести в единую теорию. Так, например, Уильям Гершель, в конце XVIII — начале XIX века открывший более 2,5 тысяч туманностей, предполагал, что в них идёт формирование звёзд на различных стадиях, и распределил их в эволюционную последовательность. Однако в этой последовательности Гершель также объединил и объекты, не относящиеся к образованию звёзд, в частности, галактики и планетарные туманности. С другой стороны, тёмные туманности, которые в действительности относятся к формированию звёзд, Гершель в свою последовательность не включил. В XIX веке дальнейшему накоплению данных поспособствовало изобретение фотографии и спектроскопии, что позволило изучать химический состав туманностей[32].
Следующий важный шаг в развитии теории формирования звёзд сделал Джеймс Джинс в 1902 году. В своей теоретической работе «Устойчивость сферической туманности» он изучил гравитационные неустойчивости и вычислил массу облака, при которой оно должно начать сжиматься[33].
При этом процессы, происходящие в межзвёздных облаках при формировании, ещё не были достаточно хорошо изучены. Близкое к современному представление о протозвёздах появилось благодаря Тюсиро Хаяси, который занимался моделированием протозвёзд и в 1966 году опубликовал статью, подробно описывающую эти объекты[34]. В дальнейшем основные идеи практически не менялись, но теория дорабатывалась: например, Ричард Ларсон значительно уточнил некоторые значения параметров протозвёзд во время их эволюции[35][36].
Звёзды на ранних стадиях формирования не наблюдались до конца 1980-х годов — основную трудность составляло то, что протозвёзды изначально скрыты за плотной газопылевой оболочкой. Кроме того, сама оболочка излучает в основном в инфракрасном диапазоне, который сильно поглощается земной атмосферой, что дополнительно затрудняет наблюдения с поверхности Земли[37]. Главным источником сведений о звёздах на начальной стадии эволюции длительное время служили звёзды типа T Тельца, которые были выделены в отдельный тип звёзд ещё в 1945 году[15][38]. Значительный вклад в изучение протозвёзд внесли также космические инфракрасные телескопы, такие как Спитцер и Гершель: например, только в Облаке Ориона теперь известно как минимум 200 протозвёзд[39][40].
До середины 1990-х годов была актуальна проблема молекулярных облаков большой массы, в которых нет никаких признаков образования звёзд. Классическим объяснением этого было вмороженное магнитное поле, препятствующее коллапсу в течение длительного времени. В дальнейшем выяснилось, что практически во всех массивных облаках есть признаки формирования звёзд, но появилась другая проблема, в некотором смысле обратная: процессы звездообразования наблюдаются даже в облаках, в которых большая часть водорода находится в атомарном виде. Она может быть объяснена в предположении, что молекулярные облака не существуют в течение длительного времени, а за небольшой срок образуются при столкновениях потоков вещества, где в них быстро образуются звёзды[41].
Примечания
- ↑ Засов, Постнов, 2011, pp. 153—158, 404—405.
- 1 2 3 ЗВЕЗДООБРАЗОВА́НИЕ : [арх. 15 июня 2022] / Б. М. Шустов // Железное дерево — Излучение. — М. : Большая российская энциклопедия, 2008. — С. 329-330. — (Большая российская энциклопедия : [в 35 т.] / гл. ред. Ю. С. Осипов ; 2004—2017, т. 10). — ISBN 978-5-85270-341-5.
- ↑ Кононович, Мороз, 2004, с. 386—387.
- ↑ Salaris, Cassisi, 2005, p. 106.
- ↑ Section X, Stellar Evolution (англ.). Lectures. University of New Hampshire Experimental Space Plasma Group. Дата обращения: 4 февраля 2021. Архивировано 19 августа 2019 года.
- 1 2 3 4 Кононович, Мороз, 2004, с. 387.
- 1 2 Salaris, Cassisi, 2005, p. 107.
- ↑ Salaris, Cassisi, 2005, pp. 107—108.
- 1 2 3 4 5 6 7 8 9 Сурдин В. Г., Ламзин С. А. Протозвёзды. Где, как и из чего формируются звёзды. От облака к звезде. Астронет (1992). Дата обращения: 4 февраля 2021. Архивировано 23 сентября 2015 года.
- 1 2 Star — Star formation and evolution (англ.). Encyclopedia Britannica. Encyclopedia Britannica Inc.. Дата обращения: 4 февраля 2021. Архивировано 6 мая 2021 года.
- ↑ Salaris, Cassisi, 2005, pp. 107—110.
- ↑ Кононович, Мороз, 2004, с. 390—391.
- 1 2 Karttunen et al., 2007, p. 244.
- 1 2 3 4 Richard B. Larson. The physics of star formation (англ.) // Reports on Progress in Physics. — Bristol: IOP Publishing, 2003. — September (vol. 66, iss. 10). — P. 1651—1697. — ISSN 0034-4885. — doi:10.1088/0034-4885/66/10/R03. Архивировано 7 апреля 2021 года.
- 1 2 3 4 Сурдин В. Г., Ламзин С. А. Протозвёзды. Где, как и из чего формируются звёзды. Что же такое протозвёзды? Астронет (1992). Дата обращения: 18 февраля 2021. Архивировано 6 марта 2012 года.
- 1 2 Эволюция звезд. Кафедра астрономии и космической геодезии. Томский государственный университет. Дата обращения: 5 февраля 2021. Архивировано 13 июля 2018 года.
- ↑ David Darling. Herbig-Haro object (англ.). The Internet Encyclopedia of Science. Дата обращения: 4 февраля 2021. Архивировано 29 апреля 2021 года.
- ↑ Кононович, Мороз, 2004, с. 356—358.
- ↑ information@eso.org. На сенсационном снимке, полученном на ALMA, — детали процесса рождения планет. European Southern Observatory. Дата обращения: 26 февраля 2021. Архивировано 5 марта 2021 года.
- ↑ RG Research: Young Stellar Objects. www.cfa.harvard.edu. Дата обращения: 29 января 2021. Архивировано 24 ноября 2017 года.
- ↑ Кононович, Мороз, 2004, с. 393—394.
- ↑ Karttunen et al., 2007, p. 243.
- ↑ I.-Juliana Sackmann, Arnold I. Boothroyd, Kathleen E. Kraemer. Our Sun. III. Present and Future (англ.) // The Astrophysical Journal. — Bristol: IOP Publishing, 1993. — 1 November (vol. 418). — P. 457. — ISSN 0004-637X. — doi:10.1086/173407. Архивировано 26 февраля 2008 года.
- ↑ Кононович, Мороз, 2004, с. 399.
- 1 2 Darling D. Henyey track. The Internet Encyclopedia of Science. Дата обращения: 4 февраля 2021. Архивировано 29 января 2010 года.
- 1 2 Henyey track. Oxford Reference. Oxford University Press. Дата обращения: 4 февраля 2021. Архивировано 15 июля 2021 года.
- ↑ Henyey L. G.; Lelevier R.; Levée R. D. The early phases of stellar evolution (англ.) // Lectures. — San Francisco: The Astronomical Society of the Pacific, 1955. Архивировано 8 октября 2020 года.
- ↑ Christopher F. McKee, Eve C. Ostriker. Theory of Star Formation (англ.) // Annual Review of Astronomy and Astrophysics. — Palo Alto: Annual Reviews, 2007. — 1 September (vol. 45). — P. 565—687. — doi:10.1146/annurev.astro.45.051806.110602. Архивировано 13 июля 2019 года.
- ↑ A. Burrows, W. B. Hubbard, D. Saumon, J. I. Lunine. An expanded set of brown dwarf and very low mass star models (англ.) // The Astrophysical Journal. — Bristol: IOP Publishing, 1993. — 1 March (vol. 406). — P. 158—171. — ISSN 0004-637X. — doi:10.1086/172427. Архивировано 7 октября 2019 года.
- ↑ Кононович, Мороз, 2004, с. 398.
- ↑ Сурдин В. Г., Ламзин С. А. Протозвёзды. Где, как и из чего формируются звёзды. Возрождение интереса к звёздам. Астронет. Дата обращения: 5 февраля 2021. Архивировано 1 декабря 2020 года.
- 1 2 Сурдин В. Г., Ламзин С. А. Протозвёзды. Где, как и из чего формируются звёзды. От Ньютона до Джинса. Астронет. Дата обращения: 5 февраля 2021. Архивировано 1 декабря 2020 года.
- ↑ Сурдин В. Г., Ламзин С. А. Протозвёзды. Где, как и из чего формируются звёзды. От Джинса до наших дней. Астронет. Дата обращения: 5 февраля 2021. Архивировано 28 ноября 2020 года.
- ↑ Chushiro Hayashi. Evolution of Protostars (англ.) // Annual Review of Astronomy and Astrophysics. — Paolo Alto: Annual Reviews, 1966. — Vol. 4. — P. 171. — doi:10.1146/annurev.aa.04.090166.001131.
- ↑ Сурдин В. Г., Ламзин С. А. Протозвёзды. Где, как и из чего формируются звёзды. Что же такое протозвёзды? Астронет (1992). Дата обращения: 5 февраля 2021. Архивировано 6 марта 2012 года.
- ↑ Richard B. Larson. Numerical Calculations of the Dynamics of a Collapsing Proto-Star (англ.) // Monthly Notices of the Royal Astronomical Society. — New York: Wiley-Blackwell, 1969. — 1 August (vol. 145, iss. 3). — P. 271—295. — ISSN 0035-8711. — doi:10.1093/mnras/145.3.271. Архивировано 10 сентября 2020 года.
- ↑ Stars (англ.). NASA Spitzer Space Telescope. NASA. Дата обращения: 18 февраля 2021. Архивировано 13 ноября 2020 года.
- ↑ Сурдин В. Г., Ламзин С. А. Протозвёзды. Где, как и из чего формируются звёзды. Звёзды типа T Тельца. Астронет (1992). Дата обращения: 18 февраля 2021. Архивировано 23 сентября 2015 года.
- ↑ Herschel Orion Protostars Survey SED Fits Catalog Definitoins. irsa.ipac.caltech.edu. Дата обращения: 18 февраля 2021. Архивировано 14 апреля 2021 года.
- ↑ M. M. Dunham, A. M. Stutz, L. E. Allen, N. J., II Evans, W. J. Fischer. The Evolution of Protostars: Insights from Ten Years of Infrared Surveys with Spitzer and Herschel // Protostars and Planets VI (англ.). — Tucson; Huston: The University of Arizona Press; Lunar and Planetary Institute, 2014. — P. 195—218. — 945 p. — ISBN 978-0-8165-3124-0. — doi:10.2458/azu_uapress_9780816531240-ch009.
- ↑ Рождение звезд: от водорода до звездных ассоциаций. ПостНаука. Дата обращения: 18 февраля 2021. Архивировано 22 января 2021 года.
Литература
- Засов А. В., Постнов К. А. Общая астрофизика. — 2-е изд. испр. и дополн. — Фрязино: Век 2, 2011. — 576 с. — ISBN 978-5-85099-188-3.
- Кононович Э. В., Мороз В. И. Общий курс астрономии / под ред. В. В. Иванова. — 2-е, исправленное. — М.: УРСС, 2004. — 544 с. — ISBN 5-354-00866-2.
- Salaris M., Cassisi S. Evolution of Stars and Stellar Populations. — Chichester: John Wiley & Sons, 2005. — 388 p. — ISBN 978-0-470-09219-X.
- Karttunen H., Kroger P., Oja H., Poutanen M., Donner K. J. Fundamental Astronomy. — 5th Edition. — Berlin, Heidelberg, New York: Springer, 2007. — 510 p. — ISBN 978-3-540-34143-7.