Перманганат калия

Перманганат калия
Изображение молекулярной модели
Общие
Систематическое
наименование
Перманганат калия
Традиционные названия Марганцовокислый калий, марганцовка
Хим. формула KMnO4
Физические свойства
Состояние твердое (хрупкие кристаллы)
Молярная масса 158,034 г/моль
Плотность 2,703 г/см³
Термические свойства
Температура
  разложения 240 °C
Мол. теплоёмк. 119,2 Дж/(моль·К)
Энтальпия
  образования −813,4 кДж/моль
Химические свойства
Растворимость
  в воде 6,38 (20 °C)
Классификация
Рег. номер CAS 7722-64-7
PubChem
Рег. номер EINECS 231-760-3
SMILES
InChI
RTECS SD6475000
Номер ООН 1490
ChemSpider
Безопасность
Пиктограммы СГС Пиктограмма «Пламя над окружностью» системы СГС
NFPA 704
Приведены данные для стандартных условий (25 °C, 100 кПа), если не указано иное.
Логотип Викисклада Медиафайлы на Викискладе
Кристаллы перманганата калия под микроскопом
Перманганат калия в виале

Пермангана́т ка́лия (лат. Kalii permanganas, распространённое название в быту — марганцо́вка) — марганцовокислый калий, калиевая соль марганцовой кислоты. Химическая формула — KMnO4. Представляет собой тёмно-фиолетовые, почти чёрные кристаллы, при растворении в воде образующие ярко окрашенный раствор цвета фуксии.

Физические свойства

Внешний вид: тёмно-фиолетовые кристаллы с металлическим блеском. Показатель преломления составляет 1,59 (при 20 °C).

Растворяется в воде (см. таблицу), жидком аммиаке, ацетоне (2:100), метаноле, пиридине.

Растворимость перманганата калия в воде
Температура, °C 10202530405065
Растворимость, г/100 г воды 4,226,367,63912,516,825

Термодинамические свойства

Термодинамические свойства перманганата калия
Стандартная энтальпия образования ΔH −813,4 кДж/моль (т) (при 298 К)
Стандартная энергия Гиббса образования G −713,8 кДж/моль (т) (при 298 К)
Стандартная энтропия S 171,71 Дж/(моль·K) (т) (при 298 К)
Стандартная мольная теплоёмкость Cp 119,2 Дж/(моль·K) (т) (при 298 К)

Химические свойства

Стандартные окислительно-восстановительные потенциалы по отношению к водородному электроду
Окисленная формаВосстановленная формаСредаE0, В
MnO4MnO42−OH+0,56
MnO4H2MnO4H++1,22
MnO4MnO2H++1,69
MnO4MnO2OH+0,60
MnO4Mn2+H++1,51
Слева направо (водные растворы): Co(NO3)2 (красный); K2Cr2O7 (оранжевый); K2CrO4 (жёлтый); NiCl2 (бирюзовый); CuSO4 (голубой); KMnO4 (фиолетовый)
Раствор KMnO4 в воде в мерной колбе

Является сильным окислителем. В зависимости от pH раствора окисляет различные вещества, восстанавливаясь до соединений марганца разной степени окисления. В кислой среде — до соединений марганца(II), в нейтральной — до соединений марганца(IV), в сильно щелочной — до соединений марганца(VI). Примеры реакций приведены ниже (на примере взаимодействия с сульфитом калия):

  • в кислой среде:
;
  • в нейтральной среде:
;
  • в щелочной среде:
.

Однако последняя реакция (в щелочной среде) идёт по указанной схеме только при недостатке восстановителя и высокой концентрации щёлочи, которая обеспечивает замедление гидролиза манганата калия.

При соприкосновении с концентрированной серной кислотой перманганат калия взрывается, однако при аккуратном соединении с холодной кислотой реагирует с образованием неустойчивого оксида марганца(VII):

.

При этом в качестве промежуточного продукта может образовываться интересное соединение — оксосульфат марганца . По реакции с фторидом иода(V) можно получить аналогичный оксофторид:

.

При нагревании разлагается с выделением кислорода (этим способом пользуются в лаборатории для получения чистого кислорода). Схему реакции упрощённо можно представить уравнением:

.

На самом деле реакция идёт намного сложнее, например, при не очень сильном нагревании её можно примерно описать уравнением:

.

Реагирует с солями двухвалентного марганца, например:

.

Эта реакция в принципе обратна дисмутации (диспропорционирование) : : на и .

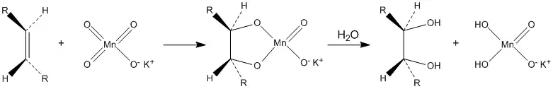
Окисляет органические вещества. В частности, разбавленные растворы перманганата калия в щелочной и нейтральной среде окисляют алкены до диолов (реакция Вагнера):

Водные растворы перманганата калия термодинамически нестабильны, но кинетически довольно устойчивы. Их сохранность резко повышается при хранении в темноте.

При смеси с пероксидом водорода протекает следующая реакция:

.

Перманганат калия реагирует с концентрированной соляной, бромоводородной или иодоводородной кислотой. В результате выделяются свободные галогены:

Во время химической реакции хлорид-анион окисляется до элементарного хлора, а ион в перманганат-анионе восстанавливается до катиона :

Применение

Применение этой соли чаще всего основано на высокой окисляющей способности перманганат-иона, обеспечивающей антисептическое действие.

Медицинское применение

Перманганат калия
Kalii permanganas
Химическое соединение
ИЮПАК Перманганат калия
Брутто-формула KMnO4
CAS
PubChem
DrugBank
Состав
Классификация
Фармакол. группа Антисептики и дезинфицирующие средства
АТХ
Лекарственные формы
порошок для приготовления раствора
Другие названия
KMnO4, Калия перманганат, Марганцовка, Хамелеон минеральный, Марганцевокислый калий, Марганцовокислый калий, Калий марганцевокислый
Логотип Викисклада Медиафайлы на Викискладе

Разбавленные растворы (около 0,1 %) перманганата калия нашли широчайшее применение в медицине как антисептическое средство, для полоскания горла, промывания ран, обработки ожогов. В качестве рвотного средства для приёма внутрь при отравлениях морфином, аконитином и некоторыми другими алкалоидами используют разбавленный (0,02—0,1 %) раствор перманганата калия[1].

Фармакологическое действие

Антисептическое средство. При соприкосновении с органическими веществами выделяет атомарный кислород. Образующийся при восстановлении препарата оксид образует с белками комплексные соединения — альбуминаты (за счёт этого калия перманганат в малых концентрациях оказывает вяжущее, а в концентрированных растворах — раздражающее, прижигающее и дубящее действие). Обладает также дезодорирующим эффектом. Эффективен при лечении ожогов и язв. Способность калия перманганата обезвреживать некоторые яды лежит в основе использования его растворов для промывания желудка при отравлениях неизвестным ядом и пищевых токсикоинфекциях. При попадании внутрь всасывается, оказывая действие (приводит к развитию метгемоглобинемии).

Показания

Смазывание язвенных и ожоговых поверхностей — инфицированные раны, язвы и ожоги кожи. Полоскание полости рта и ротоглотки — при инфекционно-воспалительных заболеваниях слизистой оболочки полости рта и ротоглотки (в том числе при ангинах). Для промывания и спринцеваний при гинекологических и урологических заболеваниях — кольпиты и уретриты. Для промываний — желудка при отравлениях, вызванных приёмом внутрь алкалоидов (морфин, аконитин, никотин), синильной кислотой, фосфором, хинином; кожи — при попадании на неё анилина; глаз — при поражении их ядовитыми насекомыми.

Противопоказания

Гиперчувствительность.

При передозировке: резкая боль в полости рта, по ходу пищевода, в животе, рвота, диарея; слизистая оболочка полости рта и глотки — отёчная, тёмно-коричневого, фиолетового цвета, возможен отёк гортани, развитие механической асфиксии, ожогового шока, двигательного возбуждения, судорог, явлений паркинсонизма, геморрагического колита, нефропатии, гепатопатии. При пониженной кислотности желудочного сока возможно развитие метгемоглобинемии с выраженным цианозом и одышкой. Смертельная доза для детей — около 3 г, для взрослых — 0,3—0,5 г/кг.

Лечение: метиленовый синий (50 мл 1 % раствора), аскорбиновая кислота (внутривенно — 30 мл 5 % раствора), цианокобаламин — до 1 мг, пиридоксин (внутримышечно — 3 мл 5 % раствора).

Способ применения и дозы

В водных растворах для промывания ран (0,1—0,5 %), для полоскания рта и горла (0,01—0,1 %), для смазывания язвенных и ожоговых поверхностей (2—5 %), для спринцевания (0,02—0,1 %) в гинекологической и урологической практике, а также промывания желудка при отравлениях.

Предосторожности

Активно взаимодействует при нагреве и даже при комнатной температуре с большинством восстановителей, например, органическими веществами (сахарозой, танинами, глицерином и многими другими), легкоокисляющимися веществами, поэтому при смешивании происходит саморазогревание, что иногда вызывает самовоспламенение смеси (с концентрированным раствором глицерина, или безводным — всегда) и может привести к взрыву.

Очень опасно растирание сухого перманганата калия с органическими веществами и порошками активных металлов и неметаллов (кальцием, алюминием, магнием, фосфором, серой и др.) — весьма вероятен взрыв.

Применение в аналитической химии

Благодаря сильным окислительным способностям перманганат-иона в кислое среде и его крайне яркой окраске, он часто используется в качестве титранта, которому не требуется индикатор (конец титрования определяется по неисчезающей розоватой окраске). Для стандартизации раствора, в качестве первичного стандарта используется оксалат натрия. Стандартизация производится при нагревании.

Другие сферы применения

  • 1—2%-й раствор используется садоводами для протравливания семян перед посадкой[2]
  • Применяется для определения перманганатной окисляемости при оценке качества воды согласно ГОСТ 2761-84 по методу Кубеля[3].
  • Щелочной раствор перманганата калия хорошо отмывает лабораторную посуду от жиров и других органических веществ.
  • Растворы (концентрации примерно 3 г/л) широко применяются при тонировании фотографий.
  • В пиротехнике применяют в качестве сильного окислителя.
  • Применяют в качестве катализатора разложения перекиси водорода в жидкостных ракетных двигателях.
  • Водный раствор перманганата калия используется для травления дерева, в качестве морилки.
  • Водный раствор применяется также для выведения татуировок. Результат достигается посредством химического ожога, при котором отмирают ткани, в которых содержится красящее вещество. Данный метод немногим отличается от простого срезания кожи, обычно он менее эффективен и более неприятен, так как ожоги заживают намного дольше. Татуировка не удаляется полностью, на её месте остаются шрамы.
  • Перманганат калия или бихромат натрия используются в качестве окислителя при получении мета- и парафталевых кислот из мета- и параксилолов, соответственно (см. Терефталевая кислота).
  • Перманганат калия является прекурсором в синтезе мефедрона и меткатинона (эфедрона).

Получение

Часто для получения небольших количеств, сплавляют диоксид марганца с нитратом или хлоратом калия и гидроксидом калия. Получающийся манганат(VI) калия далее либо окисляют хлором или электролизом, либо пропускают углекислый газ, создающий кисловатую (или примерно нейтральную) среду, в которой K2MnO4 дисмутирует, что, однако, уменьшает выход ввиду удаления марганца как MnO2.

Последняя реакция происходит при электролизе концентрированного раствора манганата калия и эндотермична, она является основным промышленным способом получения перманганата калия.

Ограничение на покупку

Входит в IV список прекурсоров ПККН в России[4] (допускается исключение некоторых мер контроля).

14 июня 2013 года на Украине был признан прекурсором и внесён в список наркотических веществ[5].

По этой причине продающаяся в розничной сети "марганцовка" содержит лишь 44,5% перманганата калия, а остальное - инертный наполнитель (обычно сульфат калия или феррат натрия).

Примечания

  1. М. Д. Машковский. Лекарственные средства. М.: ООО «Новая волна», 2002. — Т. 2. — 608 с. 25 000 экз. — ISBN 5-7864-0129-4.
  2. Протравливание семян марганцовкой, приготовление раствора марганцовки. Как правильно развести марганцовку? — Всё о рассаде и теплицах. Дата обращения: 19 февраля 2019. Архивировано 25 февраля 2019 года.
  3. 6.2.6. Окисляемость, или химическое потребление кислорода (ХПК). www.anchem.ru. Дата обращения: 11 февраля 2023. Архивировано 1 апреля 2022 года.
  4. Постановление Правительства РФ от 30.06.1998 N 681 «Об утверждении перечня наркотических средств, психотропных веществ и их прекурсоров, подлежащих контролю в Российской Федерации» (с изменениями и дополнениями). Дата обращения: 27 марта 2014. Архивировано 20 апреля 2013 года.
  5. На Украине марганцовку признали прекурсором. Газета.Ru (14 июня 2013). Дата обращения: 14 июня 2013. Архивировано 18 июня 2013 года.

Литература

  • Вульфсон Н. С. Препаративная органическая химия. — С. 656, 657.
  • Казанский Б. А. (ред.). Синтезы органических препаратов (сборник 3). — С. 145.
  • Реми Г. Курс неорганической химии (том 1). — С. 817.

Ссылки