Параллелограмм

Параллелогра́мм (др.-греч. παραλληλόγραμμον ← παράλληλος — параллельный + γραμμή — линия) — четырёхугольник, у которого противолежащие стороны попарно параллельны, то есть лежат на параллельных прямых[1]. Существуют другие варианты определения.
Частными случаями параллелограмма являются прямоугольник (все углы прямые), ромб (все стороны равны) и квадрат (прямоугольник и ромб одновременно)[1]. Параллелограмм, не являющийся прямоугольником или ромбом называют ромбоидом (при этом в литературе первой половины XX века термином «ромбоид» иногда именовался дельтоид).
Используется для указания ввода, вывода в графических алгоритмах.
Свойства


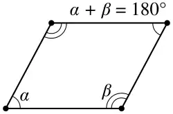
Противолежащие стороны параллелограмма и противолежащие углы параллелограмма — равны. Сумма углов, прилежащих к одной (любой) стороне, равна 180° (по свойству параллельных прямых).
Диагонали параллелограмма пересекаются, и точка пересечения делит их пополам. Точка пересечения диагоналей является центром симметрии параллелограмма. Параллелограмм диагональю делится на два равных треугольника. Средние линии параллелограмма пересекаются в точке пересечения его диагоналей. В этой точке две его диагонали и две его средние линии делятся пополам.
Стороны параллелограмма и опущенные на них высоты соотносятся следующим образом:
Тождество параллелограмма: сумма квадратов диагоналей параллелограмма равна удвоенной сумме квадратов его двух смежных сторон:
- ,
где и — длины смежных сторон, а и — длины диагоналей. Тождество параллелограмма есть простое следствие формулы Эйлера для произвольного четырехугольника: учетверённый квадрат расстояния между серединами диагоналей равен сумме квадратов сторон четырёхугольника минус сумма квадратов его диагоналей. У параллелограмма противоположные стороны равны, а расстояние между серединами диагоналей равно нулю.
Аффинное преобразование всегда переводит параллелограмм в параллелограмм. Для любого параллелограмма существует аффинное преобразование, которое отображает его в квадрат.
Четырёхугольник, вершины которого совпадают с серединами сторон произвольного четырёхугольника, является параллелограммом, стороны которого параллельны диагоналям исходного четырёхугольника (вариньонов параллелограмм).
Признаки параллелограмма
Четырёхугольник является параллелограммом, если выполняется одно из следующих условий (в этом случае выполняются и все остальные):
- у четырёхугольника без самопересечений две противоположные стороны одновременно равны и параллельны: и ;
- все противоположные углы попарно равны: и ;
- у четырёхугольника без самопересечений все противоположные стороны попарно равны: и ;
- все противоположные стороны попарно параллельны: и ;
- диагонали делятся в точке их пересечения пополам: и , где — точка пересечения диагоналей;
- сумма средних линий выпуклого четырёхугольника равна его полупериметру;
- сумма квадратов диагоналей равна сумме квадратов сторон выпуклого четырёхугольника: .
Площадь параллелограмма

Площадь параллелограмма равна произведению его основания на высоту: , где — сторона, — высота, проведённая к этой стороне. Также площадь параллелограмма может быть вычислена как произведение длин его смежных сторон и и синуса угла между ними: .
Ещё один способ определения площади параллелограмма — через длины смежных сторон и и длину любой из диагоналей по формуле Герона как сумма площадей двух равных примыкающих треугольников[2]:
- ,
где .
Примечания
- 1 2 Справочник по элементарной математике, 2006, с. 332—333.
- ↑ Геометрия, 8 класс. Урок 14. Формула Герона. Дата обращения: 26 октября 2023. Архивировано 3 апреля 2022 года.
Литература
- Выгодский М. Я. Справочник по элементарной математике. — М.: АСТ, 2006. — 509 с. — ISBN 5-17-009554-6.
Ссылки
- Weisstein, Eric W. Parallelogram (англ.) на сайте Wolfram MathWorld.