Витамин E

Витами́н E — группа природных соединений — производных токола. Важнейшими соединениями являются токоферолы и токотриенолы. Все соединения группы жирорастворимы.
Витамин E впервые был выделен в 1922 году, а в 1938 был синтезирован химическим путём.
История открытия
Ещё в экспериментах Томаса Осборна было показано, что полуочищенная диета, содержащая также и витамины A, B, C и D, поддерживает рост[1].
Однако открытие самого витамина E произошло в 1922 году Гербертом Эвансом и Кэтрин Скотт Бишоп. В своих экспериментах они показали, что крысы, которые питались лишь смесью казеина, сала, молочного жира, соли и дрожжей, были бесплодными. Репродуктивную функцию можно было восстановить, добавив листья салата или масло из зародышей пшеницы. Добавление рыбьего жира или муки не приводило ни к каким улучшениям. Из этого был сделан вывод, что «фактор X», содержащийся в определённых растительных маслах, был очень важным составляющим пищи[2][3][4].
В 1931 году Маттилл и Олкотт описали антиоксидантную функцию витамина E. В том же году было выяснено, что недостаток витамина E вызывает мышечную недостаточность и энцефаломаляцию[1].
В 1936 году α-токоферол был впервые выделен Эвансом. Название «токоферол» (от др.-греч. τόκος — «потомство, деторождение», и φέρω — «несу») было предложено Джорджем Калхауном, профессором греческого языка Калифорнийского университета[1][2].
В 1938 году была описана химическая структура α-токоферола, а Пауль Каррер смог его синтезировать[1].
Первое терапевтическое использование витамина E было проведено в 1938 году Виденбауэром, который использовал масло зародышей пшеницы как добавку для 17 недоношенных новорожденных младенцев, страдающих от нарушений роста. Одиннадцать из них выздоровели и смогли возобновить нормальные темпы роста[1].
Физико-химические свойства
| Название | Химическая структура |
|---|---|
| Альфа-токоферол | ![]() |
| Бета-токоферол | ![]() |
| Гамма-токоферол | |
| Дельта-токоферол |

Соединения группы витамина E представляют собой светло-желтые вязкие жидкости. Не растворимы в воде, хорошо растворимы в хлороформе, эфирах, гексане, хуже — в ацетоне и этаноле.
Растворы интенсивно флуоресцируют (максимум поглощения 295 нм, максимум излучения — 320—340 нм).
Устойчивы к действию минеральных кислот и щелочей. При взаимодействии с O2 и другими окислителями превращаются в хиноны.
Сложные эфиры этих веществ значительно более устойчивы к окислению. Разлагаются при действии ультрафиолетового излучения. В атмосфере инертного газа стабильны при нагревании до 100 °C[5].
Важнейшие биологически активные соединения, относящиеся к группе витамина E: токоферолы и токотриенолы.
Токотриенолы значительно менее биологически активны и отличаются от токоферолов тремя двойными связями в линейной части молекулы в положениях 3′, 7′ и 11′.
Все асимметричные центры природных токоферолов имеют R-конфигурацию. Натуральный токоферол обозначают как RRR-α-токоферол (раньше также использовалось наименование d-α-токоферол), а полученный синтетически называют all-rac-α-токоферолом, он является смесью восьми стереоизомеров, семь из которых в природе не найдены.
Если в качестве исходного вещества для синтеза используется фитол, то образуется смесь RRR-α-токоферола и 2S,4′R,8′R-α-токоферола (2-epi-α-токоферола), называемая 2-ambo-α-токоферолом (устар. dl-α-токоферол)[2][5][6].
Все изомеры этих веществ являются активными антиоксидантами, однако только изомеры с 2R-конфигурацией имеют высокую биологическую активность[7].
Нормы потребления
| Стадия жизни | Возраст | Мужчины, в день | Женщины, в день |
|---|---|---|---|
| Младенцы | 0-6 месяцев | 4 мг | 4 мг |
| Младенцы | 6-12 месяцев | 5 мг | 5 мг |
| Дети | 1-3 года | 6 мг | 6 мг |
| Дети | 4-8 лет | 7 мг | 7 мг |
| Дети | 9-13 лет | 11 мг | 11 мг |
| Подростки | 14-18 лет | 15 мг | 15 мг |
| Взрослые | 19+ лет | 15 мг | 15 мг |
| Беременные | любой | 15 мг | |
| Кормящие грудью | любой | 19 мг |
Метаболизм

Витамин E поступает в желудочно-кишечный тракт в составе масел, гидролиз которых липазой и эстеразой приводит к высвобождению витамина. Затем он всасывается и в составе хиломикронов поступает в лимфатическую систему, а затем в кровь. В печени витамин связывается с токоферолсвязывающими белками, причём наибольшим сродством обладает RRR-α-токоферол. Другие токоферолы выделяются из печени с жёлчными кислотами. Эти белки доставляют витамин в кровь в составе ЛПОНП. В плазме крови происходит обмен токоферолом между ЛПОНП и другими липопротеинами крови. Обмен между фракциями липопротеинов (особенно между ЛПНП и ЛПВП) и эритроцитами обеспечивает равновесие концентраций токоферола в крови[2].
Витамин поступает в экстрапеченочные ткани в составе ЛПНП, которые захватываются соответствующими рецепторами. Кроме такого рецепторно-опосредованного механизма, имеется и другой, зависящий от активности липопротеинлипазы: фермент высвобождает токоферол из хиломикронов и ЛПОНП, после чего витамин поступает в ткани путём пассивной диффузии. Благодаря пассивной диффузии через клеточную мембрану концентрация RRR-a-токоферола увеличивается во всех тканях организма, особенно в мозге. Структурная организация фосфолипидов в клеточных мембранах способна узнавать хиральную форму RRR-a-токоферола, благодаря чему витамин задерживается в клеточной мембране, где и выполняет свою функцию (синтетические токоферолы в составе мембраны обеспечивают меньшую её защиту от оксидативного стресса)[2].
Не всосавшиеся в кишечнике токоферолы выводятся с калом. Продукты метаболизма витамина — токофериновая кислота и её водорастворимые глюкурониды — выводятся с мочой[2].
Роль
Витамин E является универсальным протектором клеточных мембран от окислительного повреждения. Он занимает такое положение в мембране, которое препятствует контакту кислорода с ненасыщенными липидами мембран (образование гидрофобных комплексов). Это защищает биомембраны от их перекисной деструкции. Антиоксидантные свойства токоферола обусловлены также способностью подвижного гидроксила хроманового ядра его молекулы непосредственно взаимодействовать со свободными радикалами кислорода (О2·, НО·, НО2·), свободными радикалами ненасыщенных жирных кислот (RO·, RO2·) и перекисями жирных кислот. Мембраностабилизирующее действие витамина проявляется и в его свойстве предохранять от окисления SH-группы мембранных белков. Его антиоксидантное действие заключается также в способности защищать от окисления двойные связи в молекулах каротина и витамина A. Витамин E (совместно с аскорбатом) способствует включению селена в состав активного центра глутатионпероксидазы, тем самым он активизирует ферментативную антиоксидантную защиту (глутатионпероксидаза обезвреживает гидропероксиды липидов)[2].
Токоферол является не только антиоксидантом, но и антигипоксантом, что объясняется его способностью стабилизировать митохондриальную мембрану и экономить потребление кислорода клетками. Из всех клеточных органелл митохондрии наиболее чувствительны к повреждению, так как в них содержится больше всего легко окисляющихся ненасыщенных липидов. Вследствие мембраностабилизирующего эффекта витамина E в митохондриях увеличивается сопряженность окислительного фосфорилирования, образование АТФ и креатинфосфата. Витамин контролирует биосинтез убихинона — компонента дыхательной цепи и главного антиоксиданта митохондрий[2].
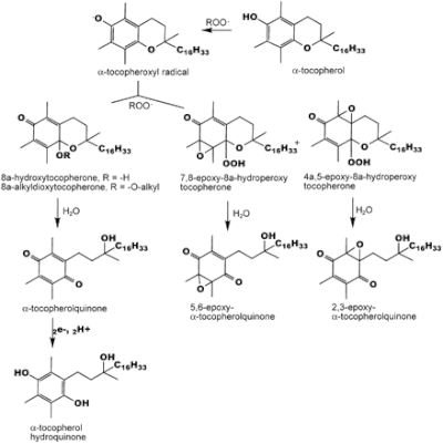
Окисленная форма витамина может реагировать с донорами водорода (например, с аскорбиновой кислотой) и таким образом вновь переходит в восстановленную форму[7].
Так как окисленные формы в организме восстанавливаются, то их обычно не находят in vivo. In vitro были найдены следующие продукты окисления[7]:

Токотриенолы проявляют сильные нейропротекторные, антиоксидантные свойства, снижают риск заболевания раком. Микромолярные количества токотриенолов уменьшают активность 3-гидрокси-3-метилглютарил-кофермент А редуктазы, отвечающей за синтез холестерина, таким образом снижая его уровень в организме[9].
Токоферол контролирует синтез нуклеиновых кислот (на уровне транскрипции), К0 энзима Q, миозиновой АТФ-азы (необходимой для сокращения) кальциевой АТФ-азы (необходимой для захвата кальция в саркоплазматический ретикулум при расслаблении), каталазы и пероксидазы (участвующих в ликвидации перекисей), а также гема (таким образом увеличивая эритропоэз), входящего в состав цитохромов (P-450, цитохром-С-редуктазы), гемоглобина и миоглобина. Под его влиянием происходит синтез следующих белков: коллагена в подкожной клетчатке и костях, сократительных белков в скелетных, гладких мышцах и миокарде, белков слизистых оболочек и плаценты, ферментов печени, креатинфосфокиназы, вазопрессиназы и гонадотропных гормонов[2][10].
Витамин E обладает способностью угнетать активность фосфолипазы А2 лизосом, разрушающей фосфолипиды мембран. Повреждение мембран лизосом приводит к выходу в цитозоль протеолитических ферментов, которые и повреждают клетку.
Витамин E является эффективным иммуномодулятором, способствующим укреплению иммунозащитных сил организма[2].
Было документально подтверждено, что производное витамина E с укороченной боковой цепью индуцирует апоптоз опухолевых клеток, изменяет потенциал митохондриальной мембраны, а также регулирует определённые апоптотические белки, относящиеся к факторам роста[11].
Было показано, что витамин E как при монотерапии, так и в сочетании с пентоксифиллином помогает при саркоидозе.
Авитаминоз
Недостаточность токоферола — весьма распространенное явление, особенно у людей, проживающих на загрязненных радионуклидами территориях, а также подвергающихся воздействию химических токсикантов. Глубокий гиповитаминоз встречается редко — преимущественно у недоношенных детей (проявляется гемолитической анемией)[2].
.jpg)
При E-витаминной недостаточности наблюдается частичный гемолиз эритроцитов, в них снижается активность ферментов антиоксидантной защиты. Повышение проницаемости мембран всех клеток и субклеточных структур, накопление в них продуктов ПОЛ — главное проявление гиповитаминоза. Именно этим обстоятельством объясняется разнообразие симптомов недостаточности токоферола — от мышечной дистрофии и бесплодия вплоть до некроза печени и размягчения участков мозга, особенно мозжечка. Увеличение активности выходящих из поврежденных тканей ферментов в сыворотке крови (креатинфосфокиназы, аланинаминотрансферазы и других) и увеличение содержания в ней продуктов ПОЛ наблюдается уже на ранних стадиях E-гиповитаминоза[2].
При недостатке витамина E у младенцев и маленьких детей с мальабсорбцией атаксия протекает намного быстрее, чем у взрослых. Это означает, что нервной системе необходимо достаточное количество витамина для нормального развития[7].
Дефицит витамина E в организме сопровождается снижением содержания иммуноглобулинов E. После его введения нормализуется численность Т- и В-лимфоцитов в периферической крови и восстанавливается функциональная активность Т-клеток[2].
Гипервитаминоз
Витамин нетоксичен при значительных (10—20-кратных к суточной потребности) и длительных превышениях его дозировки, что обусловлено ограничением способности специфических токоферолсвязывающих белков печени включать витамин в состав ЛПОНП. Его избыток выводится из организма с жёлчью. В некоторых случаях длительный прием мегадоз токоферола (более 1 г в сутки) может привести к гипертриглицеридемии и повышению кровяного давления[2].
Основные осложнения при гипервитаминозе связаны с[10]:
- чрезмерным угнетением свободнорадикальных реакций в нейтрофилах и других фагоцитах (нарушение переваривания захваченных микроорганизмов, что может проявиться сепсисом у очень недоношенных детей);
- прямым токсическим действием на нейтрофилы, тромбоциты, эпителий кишечника, клетки печени и почек;
- угнетением активности витамин K-зависимой карбоксилазы.
Возможная клиника отравления α-токоферолом: сепсис, некротизирующий энтероколит, гепатомегалия, гипербилирубинемия (более 20 мг/дл), азотемия (более 40 мг/дл), тромбоцитопения (менее 50—60 тыс./мкл), симптомы почечной недостаточности, кровоизлияния в сетчатую оболочку глаз или мозг, асцит[10].
При внутривенном введении витамина E на месте инъекции возникает отёк, эритема, кальцификация мягких тканей[10].
Пищевые добавки
В конце XX века, когда витамин E позиционировался в средствах массовой информации как мощнейший антиоксидант, снижающий риск возникновения разнообразных болезней, многие жители западных стран стали принимать препараты с высоким содержанием токоферолов. Последующие исследования показали, что регулярный приём таких добавок ассоциируется с повышенной смертностью[12][13][14]. Так, по данным выполненного в 2004 году обзора двадцати исследований применения витаминов А, С, E и бета-каротина с участием 211 818 пациентов, витамины увеличивают смертность, как и по данным выполненного в 2005 году метаанализа по добавкам с витамином E. В систематическом обзоре, выполненном в 2012 году и обобщающем данные исследований витаминов-антиоксидантов у 215 900 пациентов, был сделан вывод об опасности добавок с витамином E, бета-каротином и большими дозами витамина А[15]. В 2012 году японские исследователи заявили, что избыток витамина E ведёт к остеопорозу[16]. Положительный эффект добавок с витамином E доказан только в отношении недостаточности токоферола[17].
Специалисты клиники Майо рекомендуют относиться к приёму препаратов, содержащих витамин E, с повышенной осторожностью[17]. Ситуация осложняется тем, что подобные препараты часто содержат также витамин A, что затрудняет решение вопроса о том, избыток какого из этих витаминов вызывает негативный эффект в том или ином случае[18].
Врождённые нарушения обмена витамина E
- Акантоцитоз
При этой патологии в плазме крови отсутствуют хиломикроны, ЛПНП и ЛПОНП вследствие нарушения в печени больных синтеза одного из структурных белков этих липопротеинов. Так как витамин E транспортируется в крови в составе хиломикронов и ЛПНП, то отсутствие последних приводит к нарушению всасывания токоферола и поступления его в ткани. Клинически это проявляется в резком снижении гемолитической устойчивости эритроцитов и акантоцитозе, пигментном ретините, мышечной слабости и атаксической нейропатии. Лечение сводится к ограничению потребления жиров и дополнительному введению водорастворимых форм жирорастворимых витаминов (например, токоферолполиэтиленгликоль сукцинат)[2].
- Врождённая дисэритропоэтическая анемия типа II
При этом заболевании увеличивается расход витамина E на процесс стабилизации и защиты от перекисной деструкции дефектных эритроцитарных мембран[2].
- Врождённые мышечные дистрофии
В некоторых случаях мышечная гипотония и дистрофия мышц обусловливается врождённым нарушением процесса поступления или обмена в них токоферола[2].
Примечания
- 1 2 3 4 5 Bell, EF. History of vitamin E in infant nutrition (англ.) // American Journal of Clinical Nutrition. — 1987. — Iss. 46, no. 1. — P. 183–186. — PMID 3300257.
- 1 2 3 4 5 6 7 8 9 10 11 12 13 14 15 16 17 Морозкина Т. С., Мойсеёнок А. Г. Витамины. — Минск: Асар, 2002. — С. 66—72.
- ↑ Brigelius-Flohe, R. Vitamin E: function and metabolism : [англ.] : [арх. 16 августа 2013] / R. Brigelius-Flohe, M. G. Traber // The FASEB Journal. — 1999. — Vol. 13, no. 10. — P. 1145–1155. — doi:10.1096/fasebj.13.10.1145. — PMID 10385606.
- ↑ Evans H. M., Bishop K. S. On the existence of a hitherto unrecognized dietary factor essential for reproduction // Science. — 1922. — Вып. 56, № 1458. — С. 650–651. — doi:10.1126/science.56.1458.650. — PMID 17838496.
- 1 2 Кнунянц И. Л. и др. Т. 1 А—Дарзана // Химическая энциклопедия. — М.: Советская энциклопедия, 1988. — С. 386—387. — 100 000 экз.
- ↑ Nomenclature of Tocopherols and Related Compounds (англ.). Department of Chemistry, Queen Mary University of London. Дата обращения: 10 августа 2013. Архивировано 16 августа 2013 года.
- 1 2 3 4 Traber, Maret G.,Stevens, Jan F. Vitamins C and E: Beneficial effects from a mechanistic perspective. — Free Radical Biology and Medicine. — Вып. 51, № 5. — С. 1000–1013. — doi:10.1016/j.freeradbiomed.2011.05.017. — PMID 21664268.
- ↑ Яндекс Картинки. yandex.ru. Дата обращения: 28 января 2023. Архивировано 28 января 2023 года.
- ↑ Chandan K. Sen , Savita Khanna, Sashwati Roy. Tocotrienols: Vitamin E beyond tocopherols (англ.). — Life sciences, 2006. — Iss. 78, no. 18. — P. 2088–98. — doi:10.1016/j.lfs.2005.12.001. — PMID 16458936.
- 1 2 3 4 Михайлов И. Б. Клиническая фармакология. — Санкт-Петербург: Фолиант, 1998. — С. 158—161.
- ↑ Gok S, Kuzmenko O, Babinskyi A, Severcan F (January 2021). Vitamin E Derivative with Modified Side Chain Induced Apoptosis by Modulating the Cellular Lipids and Membrane Dynamics in MCF7 Cells. Cell Biochemistry and Biophysics. 79 (2): 271–87. doi:10.1007/s12013-020-00961-y.
- ↑ Health Promotion and Aging: Practical Applications for Health Professionals ... - David Haber, PhD - Google Книги. Дата обращения: 2 октября 2017. Архивировано 30 июня 2014 года.
- ↑ Архивная копия от 15 марта 2014 на Wayback Machine Meta-analysis: high-dosage vitamin E suppleme… [Ann Intern Med. 2005] — PubMed — NCBI
- ↑ Архивная копия от 15 марта 2014 на Wayback Machine Antioxidant supplements for preve… [Cochrane Database Syst Rev. 2008] — PubMed — NCBI
- ↑ Талантов, Пётр Валентинович. 0,05 : Доказательная медицина от магии до поисков бессмертия. — М. : АСТ : CORPUS, 2019. — 560 с. — (Библиотека фонда «Эволюция»). — ББК 54.1. — УДК 616. — ISBN 978-5-17-114111-0.
- ↑ [Taking vitamin E linked to osteoporosis: research — Yahoo News Singapore. Дата обращения: 15 марта 2014. Архивировано 15 марта 2014 года. Taking vitamin E linked to osteoporosis: research — Yahoo News Singapore]
- 1 2 Vitamin E — Drugs and Supplements — Mayo Clinic. Дата обращения: 15 марта 2014. Архивировано 15 марта 2014 года.
- ↑ Vitamin E and Health | The Nutrition Source | Harvard T.H. Chan School of Public Health. Дата обращения: 15 марта 2014. Архивировано 15 марта 2014 года.

