DMMDA
| DMMDA | |
|---|---|
![]() | |
| Общие | |
| Систематическое наименование |
1-(4,7-Диметокси-1,3-бензодиоксол-5-ил)пропан-2-амин |
| Хим. формула | C12H19NO4 |
| Физические свойства | |
| Молярная масса | 241,287 г/моль |
| Классификация | |
| Рег. номер CAS | 15183-13-8 |
| PubChem | 44349928 |
| SMILES | |
| InChI | |
| ChemSpider | 21106291 |
| Приведены данные для стандартных условий (25 °C, 100 кПа), если не указано иное. | |
2,5-Диметокси-3,4-метилендиоксиамфетамин (DMMDA или DMMDA-1) — малоизвестный психоделический наркотик из химических классов фенэтиламина и амфетамина.[1] Впервые он был синтезирован Александром Шульгиным и описан в его книге PiHKAL.[1] Шульгин указал дозировку 30–75 мг и продолжительность действия 6–8 часов.[1] Он сообщил, что DMMDA вызывает LSD-подобные образы, мидриаз, атаксию и замедление времени.[1] DMMDA не часто упоминается в литературе за пределами PiHKAL, в отличие от 2C-B.[1]
Фармакология
Механизм галлюциногенных эффектов DMMDA конкретно не установлен. В PiHKAL Шульгин утверждает, что субъективные эффекты 75 миллиграмм DMMDA эквивалентны эффектам 75–100 микрограмм LSD. LSD является хорошо известным частичным агонистом рецептора 5-HT2A.[1] Это может указывать на то, что DMMDA является классическим психоделиком, который также является агонистом или частичным агонистом рецептора 5-HT2A.
Химия
Шульгин объясняет в своей книге, что DMMDA имеет 6 изомеров, похожих на TMA.[1] DMMDA-2 — единственный другой изомер, который был синтезирован на данный момент. DMMDA-3 может быть получен из экзалатацина (1-аллил-2,6-диметокси-3,4-метилендиоксибензола). Экзалатацин можно найти в эфирном масле как Crowea exalata, так и Crowea angustifolia var. angustifolia.[2] Другими словами, экзалатацин является изомером как апиола, так и диллапиола, которые могут быть использованы для получения DMMDA и DMMDA-2 соответственно. Кроме того, еще один изомер DMMDA может быть получен из псевдодиллапиола или 4,5-диметокси-2,3-метилендиоксиаллилбензола.[3] Последние два изомера DMMDA — это 5,6-диметокси-2,3-метилендиоксиамфетамин и 4,6-диметокси-2,3-метилендиоксиамфетамин.

Как и все другие соединения амфетамина, DMMDA и его региоизомер имеют два энантиомера из-за того, что метильная группа находится в альфа-положении этильной группы в позиции номер 1 на бензольном кольце.[4]
Синтез Шульгина
Шульгин описывает синтез DMMDA из апиола в своей PiHKAL.[1] Апиол подвергается реакции изомеризации для получения изоапиола путем добавления к раствору этанольного гидроксида калия и выдерживания раствора на паровой бане.[1] Затем изоапиол нитруется посредством конденсации Кнёвенагеля до 2-нитроизоапиола или 1-(2,3-диметокси-3,4-метилендиоксифенил)-2-нитропропена путем добавления его к перемешиваемому раствору ацетона и пиридина при температуре ледяной бани и обработки раствора тетранитрометаном. Пиридин действует как катализатор в этой реакции.[1] 2,5-диметокси-3,4-метилендиоксибензальдегид также может быть использован в качестве прекурсоров на этом этапе синтеза. 2-нитро-изоапиол в конце концов восстанавливается до свободного основания DMMDA путем добавления его к хорошо перемешиваемой и рефлюксной суспензии диэтилового эфира и алюмогидрида лития в инертной атмосфере.[1] Восстановление также может быть достигнуто с помощью водорода под давлением. В конце концов, свободное основание DMMDA превращается в его гидрохлоридную соль.[1]

Современные методы синтеза
Синтез DMMDA Шульгиным можно обоснованно считать небезопасным, по крайней мере по современным стандартам, поскольку он использует тетранитрометан для своей реакции нитрования, которая является токсичной, канцерогенной и склонной к детонации.[5] DMMDA можно получить из апиола другими более безопасными методами. Среди других методов, DMMDA можно синтезировать из апиола через промежуточный химический продукт 2,5-диметокси-3,4-метилендиоксифенилпропан-2-он или DMMDP2P таким же образом, как MDA получают из сафрола.

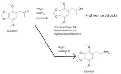
DMMDP2P можно получить из апиола через окисление Вакера с бензохиноном. DMMDP2P можно получить альтернативным способом, подвергая апиол реакции изомеризации с получением термодинамически более стабильного внутреннего алкена, изоапиола, с последующим окислением надкислотой и, наконец, гидролитической дегидратацией.[6] Окисление надкислоты может быть достигнуто путем объединения перекиси водорода с муравьиной кислотой для создания надкислоты, которая в данном случае является надуксусной кислотой. Гидролиз обычно катализируется кислотой с серной кислотой, поскольку серная кислота также приведет к дегидратации промежуточного изоапиолмоноформилгликоля до DMMDP2P. Таким образом, для гидролиза и дегидратации требуется только один реагент, серная кислота, и обе реакции могут быть выполнены в одном и том же реакционном сосуде. Дегидратация является результатом пинакольной перегруппировки. Затем DMMDP2P может быть подвергнут восстановительному аминированию с источником азота, таким как хлорид аммония или нитрат аммония, и восстановителем, таким как цианоборогидрид натрия, амальгамой ртути и алюминия или сжатым водородом, для получения свободного основания DMMDA.[7][8][9][10][11]
Общая информация о синтезе

Боргидрид натрия обычно не используется в качестве восстановителя, поскольку он намного сильнее цианоборогидрида натрия; это обычно приводит к побочным продуктам, таким как 2,5-диметокси-3,4-метилендиокси-1-α-гидроксипропилбензол, в дополнение к желаемому DMMDA. Восстановительное аминирование является экзотермической реакцией. Таким образом, необходимо использовать различные методы охлаждения реакционной смеси, чтобы предотвратить перегрев; это может быть достигнуто, например, с помощью большого количества растворителя или ледяной бани. Использование ртутной амальгамы небезопасно из-за хорошо известного токсического воздействия ртути на центральную нервную систему. В дополнение к перуксусной кислоте, другие перкислоты могут быть использованы для перкислотного окисления изоапиола и аналогов изоаллилбензола в целом. Например, сочетание азотной кислоты с перекисью водорода приведет к той же реакции[8][9][10][11].
Примечания
- 1 2 3 4 5 6 7 8 9 10 11 12 Shulgin A. Pihkal: A Chemical Love Story (англ.). — Transform Press. — ISBN 0-9630096-0-5.
- ↑ Brophy JJ, Goldsack RJ, Punruckvong A, Forster PI, Fookes CJ. Essential oils of the genus Crowea (Rutaceae). — Journal of Essential Oil Research, 1997. — С. 401-409. — doi:10.1080/10412905.1997.9700740.
- ↑ Antimicrobial/antifungal compositions. Дата обращения: 23 сентября 2024. Архивировано 15 декабря 2023 года.
- ↑ J. Larry Campbell, Amol Kafle, Zack Bowman, J. C. Yves Le Blanc, Chang Liu, W. Scott Hopkins. Separating chiral isomers of amphetamine and methamphetamine using chemical derivatization and differential mobility spectrometry // Analytical Science Advances. — 2020-09-12. — Т. 1, вып. 4. — С. 233–244. — ISSN 2628-5452. — doi:10.1002/ansa.202000066.
- ↑ Tetranitromethane // National Toxicology Program. — 2013. — 31 января. Архивировано 31 января 2013 года.
- ↑ Cox M, Klass G, Morey S, Pigou P. Chemical markers from the peracid oxidation of isosafrole (англ.). — Forensic Science International, 2008. — P. 44-53. — doi:10.1016/j.forsciint.2008.04.009.
- ↑ Braun U, Shulgin AT, Braun G. Centrally active N-substituted analogs of 3,4-methylenedioxyphenylisopropylamine (3,4-methylenedioxyamphetamine) (англ.). — Journal of Pharmaceutical Sciences, 1980. — P. 192-195. — doi:10.1002/jps.2600690220.
- 1 2 Clayden J, Greeves N, Warren S. Organic Chemistry (англ.). — Oxford University Press, 2012. — P. 234-235. — ISBN 978-0-19-927029-3.
- 1 2 Carey FA, Sundberg RJ. Organic Chemistry B: Reactions and Synthesis (англ.). — Springer, 2007. — P. 403-404. — ISBN 978-0-387-68350-8.
- 1 2 Smith MB, March J. March's Advanced Organic Chemistry (англ.). — John Wiley & Sons, 2007. — P. 1288-1290. — ISBN 978-0-471-72091-1.
- 1 2 Turcotte MG, Hayes KS. Amines, Lower Aliphatic Amines, Kirk-Othmer Encyclopedia of Chemical Technology (англ.). — New York: John Wiley & Sons, 2001.

