C3-линеаризация
C3-линеаризация суперкласса (англ. C3 superclass linearization) — алгоритм, используемый преимущественно для получения устойчивой линеаризации иерархии множественного наследования в объектно-ориентированном программировании. Данная линеаризация используется для определения порядка, в котором должны наследоваться методы, что часто в англоязычной литературе обозначается как «MRO» (сокращение от «Method Resolution Order», то есть «порядок разрешения метода»). C3 в названии указывает на три главные особенности итоговой линеаризации: устойчивый и расширяющийся (по старшинству) граф, сохранение локального порядка старшинства, а также монотонность. Данная теория впервые была представлена в 1996 году в рамках конференции OOPSLA, в документе, озаглавленном «Монотонная линеаризация суперкласса для языка Dylan»[1]. Впоследствии данный алгоритм был выбран как алгоритм по умолчанию для разрешения методов в языке программирования Python 2.3 (и последующих версиях), Perl 6 и виртуальной машине Parrot. Он также доступен в виде альтернативы (не являясь MRO по умолчанию) в ядре Perl 5, начиная с версии 5.10.0. Расширенная реализация для более ранних версий Perl 5 носит название Class::C3 и существует в CPAN.
Пример
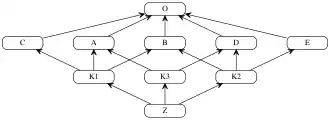
Для

class O class A extends O class B extends O class C extends O class D extends O class E extends O class K1 extends A, B, C class K2 extends D, B, E class K3 extends D, A class Z extends K1, K2, K3
Линеаризация Z считается как
L(O) := [O] // линеаризация O тривиально представляет собой единичный список [O], потому что O не имеет родителей L(A) := [A] + merge(L(O), [O]) // линеаризация A - это A плюс объединение линеаризаций его родителей с списком родителей... = [A] + merge([O], [O]) = [A, O] // ...что просто добавляет A в линеаризацию его единственного родителя L(B) := [B, O] // линеаризации B, C, D и E вычисляются аналогично линеаризации A L(C) := [C, O] L(D) := [D, O] L(E) := [E, O] L(K1) := [K1] + merge(L(C), L(B), L(A), [C, A, B]) // сначала найдем линеаризации родителей K1: L(C), L(B) и L(A), и объединим их с списком родителей [C, A, B] = [K1] + merge([C, O], [B, O], [A, O], [C, A, B]) // класс C - хороший кандидат для первого шага слияния, потому что он появляется только в начале первого и последнего списка = [K1, C] + merge([O], [B, O], [A, O], [A, B]) // класс O - не является хорошим кандидатом для следующего шага слияния, потому что он также появляется в хвостах списка 2 и 3, класс B тоже не подходит; но класс A - хороший кандидат = [K1, C, A] + merge([O], [B, O], [O], [B]) // класс B - хороший кандидат; класс O все еще появляется в хвосте списка 2 = [K1, C, A, B] + merge([O], [O], [O]) // наконец, класс O - допустимый кандидат, что также завершает все оставшиеся списки = [K1, C, A, B, O] L(K3) := [K3] + merge(L(A), L(D), [A, D]) = [K3] + merge([A, O], [D, O], [A, D]) // выбираем A = [K3, A] + merge([O], [D, O], [D]) // отбрасываем O, выбираем D = [K3, A, D] + merge([O], [O]) // выбираем O = [K3, A, D, O] L(K2) := [K2] + merge(L(B), L(D), L(E), [B, D, E]) = [K2] + merge([B, O], [D, O], [E, O], [B, D, E]) // выбираем B = [K2, B] + merge([O], [D, O], [E, O], [D, E]) // отбрасываем O, выбираем D = [K2, B, D] + merge([O], [O], [E, O], [E]) // отбрасываем O, выбираем E = [K2, B, D, E] + merge([O], [O], [O]) // выбираем O = [K2, B, D, E, O] L(Z) := [Z] + merge(L(K1), L(K3), L(K2), [K1, K3, K2]) = [Z] + merge([K1, C, A, B, O], [K3, A, D, O], [K2, B, D, E, O], [K1, K3, K2]) // выбираем K1 = [Z, K1] + merge([C, A, B, O], [K3, A, D, O], [K2, B, D, E, O], [K3, K2]) // выбираем C = [Z, K1, C] + merge([A, B, O], [K3, A, D, O], [K2, B, D, E, O], [K3, K2]) // отбрасываем A, выбираем K3 = [Z, K1, C, K3] + merge([A, B, O], [A, D, O], [K2, B, D, E, O], [K2]) // выбираем A = [Z, K1, C, K3, A] + merge([B, O], [D, O], [K2, B, D, E, O], [K2]) // отбрасываем B, отбрасываем D, выбираем K2 = [Z, K1, C, K3, A, K2] + merge([B, O], [D, O], [B, D, E, O]) // выбираем B = [Z, K1, C, K3, A, K2, B] + merge([O], [D, O], [D, E, O]) // отбрасываем O, выбираем D = [Z, K1, C, K3, A, K2, B, D] + merge([O], [O], [E, O]) // отбрасываем O, выбираем E = [Z, K1, C, K3, A, K2, B, D, E] + merge([O], [O], [O]) // выбираем O = [Z, K1, C, K3, A, K2, B, D, E, O] // готово
Обозначения:
L(Class) - линеаризация класса Class [A,B,C] - список из трех элементов, где голова это A, а хвост [B,C] merge - слияние списков
Функция merge осуществляет слияние списков таким образом, чтобы каждый элемент встречался в результате ровно один раз, этим она похожа на слияние множеств, но тут важен порядок следования элементов в списке. Функция merge работает следующим образом - она перебирает списки-аргументы по порядку упоминания (слева направо), выбирая первый элемент, который может быть первым в нескольких списках, но нигде не упоминается вторым и далее, и перемещает его в список-результат, исключая из списков-аргументов, повторяя эту процедуру несколько раз, пока все элементы не переместятся из списков-аргументов в список-результат. Если на каком-то этапе возникает ситуация, что нельзя выбрать элемент-кандидат, удовлетворяющий указанному условию, т.е. если во всех списках-аргументах первые элементы встречаются в других списках-аргументах не первыми, итоговый список не создаётся.
Пример Python3
Создадим отображение классов в виде их имен
class Type(type):
def __repr__(cls):
# Will make it so that repr(O) is "O" instead of "<__main__.O>",
# and the same for any subclasses of O.
return cls.__name__
class O(object, metaclass=Type): pass
Определим базовые классы
class A(O): pass
class B(O): pass
class C(O): pass
class D(O): pass
class E(O): pass
Построим дерево наследования
class K1(C, A, B): pass
class K3(A, D): pass
class K2(B, D, E): pass
class Z(K1, K3, K2): pass
Проверяем mro
>>> Z.mro()
[Z, K1, C, K3, A, K2, B, D, E, O, <class 'object'>]Пример в Raku
class A {}
class B {}
class C {}
class D {}
class E {}
class K1 is C is A is B {}
class K3 is A is D {}
class K2 is B is D is E {}
class Z is K1 is K3 is K2 {}
say Z.^mro; # OUTPUT: ((Z) (K1) (C) (K3) (A) (K2) (B) (D) (E) (Any) (Mu))
Примечания
- ↑ A Monotonic Superclass Linearization for Dylan. OOPSLA '96 Conference Proceedings. ACM Press. 28 июня 1996. pp. 69–82. doi:10.1145/236337.236343. ISBN 0-89791-788-X. Архивировано из оригинала 17 августа 2000. Дата обращения: 14 декабря 2009. Источник. Дата обращения: 14 декабря 2009. Архивировано 17 августа 2000 года.
Ссылки
- Использование C3 MRO в Python 2.3 (англ.)
- Perl 6 будет использовать C3 MRO (англ.)
- Parrot использует C3 MRO (англ.)
- C3 MRO доступна в Perl 5.10 (англ.)
- Расширение Perl 5 для C3 MRO в CPAN (англ.)