Реакции нуклеофильного присоединения
Реакции нуклеофильного присоединения (англ. nucleophilic addition reaction) — реакции присоединения, в которых атаку на начальной стадии осуществляет нуклеофил — частица, заряженная отрицательно или имеющая свободную электронную пару. На конечной стадии образующийся карбанион подвергается электрофильной атаке.
Несмотря на общность механизма различают реакции присоединения по связи углерод-углерод и углерод-гетероатом.
Общий вид реакций присоединения по двойной связи углерод-углерод:
Реакции нуклеофильного присоединения более распространены для тройных, чем для двойных связей[1].
Реакции нуклеофильного присоединения по связи углерод-углерод
Механизм реакций нуклеофильного присоединения по связи углерод-углерод
Нуклеофильное присоединение по кратной связи обычно двухстадийный процесс AdN2 — реакция бимолекулярного нуклеофильного присоединения (англ. addition nucleophilic bimolecular)[2]:

Нуклеофильное присоединение по связи С=C встречается достаточно редко, и, как правило, если в соединении имеются электроноакцепторные заместители[3]. Наибольшее значение имеет в этом классе реакция Михаэля[4]:

Присоединение по тройной связи аналогично присоединению по связи С=C:

Реакции нуклеофильного присоединения по связи углерод-гетероатом
Механизм реакций нуклеофильного присоединения по связи углерод-гетероатом
Нуклеофильное присоединение по кратной связи углерод-гетероатом имеет механизм AdN2:

Как правило, лимитирующей стадией процесса является нуклеофильная атака, электрофильное присоединение происходит быстро[1].
Иногда продукты присоединения вступают в реакцию отщепления, тем самым совокупно давая реакцию замещения:

Hуклеофильное присоединение по связи С=O очень распространено, что имеет большое практическое промышленное и лабораторное значение[3].
Типичные реакции нуклеофильного присоединения по связи C=O
1. Альдольная конденсация.

2. Сложноэфирная конденсация.


3. Реакция Гриньяра.

4. Реакция Реформатского.


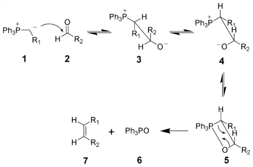
6. Реакция Виттига.

7. Бензоиновая конденсация.

Типичные реакции нуклеофильного присоединения по связи C=N и С≡N
1. Реакция Торпа.

2. Присоединение циановодорода.

3. Реакция Уги.

Примечания
- 1 2 Mарч Дж. Органическая химия, пер. с англ., т. 3, — M.: Мир, 1988
- ↑ Сайкс П. Механизмы реакций в органической химии, 4-е изд. / Пер. с англ.,под редакцией В. Ф. Травеня — M.: Химия, 1991 — ISBN 5-7245-0191-0
- 1 2 Химическая энциклопедия./ Нуклеофильные реакции. // Главный редактор И. Л. Кнунянц. — М.: «Советская энциклопедия», 1988 год. — Т. 3.
- ↑ Ли Дж. Именные реакции. Механизмы органических реакций /Пер. с англ. В. М. Демьянович. — М.:БИНОМ. Лаборатория знаний, 2006 — ISBN 5-94774-368-X