Графеновые наноленты
Графеновые наноленты — узкие полоски графена с шириной порядка 10—100 нм. По своим физическим свойствам отличаются от более широких образцов, которые имеют линейный закон дисперсии, как в бесконечном графене. Наноленты интересны тем, что обладают нелинейным законом дисперсии и полупроводниковыми свойствами из-за наличия запрещённой зоны, которая зависит от ширины ленты и расположения атомов на границах. Графеновые наноленты благодаря этому рассматриваются как важный шаг в создании транзистора на основе графена, который будет работать при комнатной температуре.
Методы изготовления
Основной способ подготовки графеновых образцов — это механическое отшелушивание слоёв пиролитического графита с помощью липкой ленты и последующее осаждение на подложку высоколегированного кремния, покрытого слоем диэлектрика (SiO2). При использовании этого метода поиск графена осуществляется в оптическом микроскопе, а так как нанообъекты в этом случае рассмотреть нельзя, то сначала находят относительно большой образец. Его подвергают стандартной процедуре для использования электронной литографии, позволяющей добиться разрешения порядка 10 нм. Сначала закрывают подложку с осаждённым графеном электронным резистом и с помощью электронного пучка засвечивают резист, нанося необходимые размеры графеновых нанолент, а после удаления неэкспонированного резиста (для негативного резиста или, наоборот, удаления экспонированного резиста для позитивного резиста) проводят плазменное травление. В работах[1][2] использовали электронный резист HSQ.
С использованием химического метода[3] были созданы наноленты шириной менее 10 нм. Для этого метода необходим термически расширенный графит. Этот метод не предполагает использование литографии и травления, поэтому границы нанолент получаются гладкими.
Существует ещё один метод[4], не использующий литографию, поскольку маской здесь выступает тонкая кварцевая нить (диаметр 200 нм), что позволяет избежать возможных повреждений и загрязнений при литографии. Кроме того, метод не временезатратный.
Идеальные наноленты

Так как графен является полуметаллом, то невозможно избавиться от носителей в нём при приложении затворного напряжения, и поэтому всегда будет существовать высокий ток утечки в графеновых структурах. Для преодоления этого нежелательного эффекта предлагается использовать узкие полоски графена, из-за размера называемые нанолентами, где благодаря квантово-размерному эффекту возможно образование запрещённой зоны, ширина которой обратно пропорциональна поперечному размеру ленты.[1][2][5]

Однако не все наноленты в теории обладают запрещённой зоной, поскольку это сильно зависит от расположения граничных атомов, и в общем случае все наноленты с расположением атомов на краю зигзагом (аценовый край) (англ. zig-zag) не имеют запрещённой зоны, то есть являются металлическими.[6] На рис. 1. показано, как из бесконечного графена можно нарезать различные наноленты, в зависимости от ориентации обладающие разным расположением атомов на границах. Если атомы расположены в виде кресла (фенантреновый край) (англ. armchair), и количество их отлично от N=(3M-1), где M — целое число, образуется запрещённая зона [7], N — число димеров, как показано на рис. 2, ширина наноленты. Существует простая аналитическая модель[6], основанная на использовании уравнения Дирака для графена, с помощью которой можно оценить ширины запрещённых зон для идеальных графеновых нанолент, где граничные атомы расположены в виде кресла или зигзагом (см. рис. 2). Для исследования графеновых нанолент с шероховатыми границами используются аналитические методы: адиабатическое приближение[8]; либо более сложные методы численного моделирования: приближение сильной связи[9][5][10], метод функционала плотности[11][12][13].
Формирование запрещённой зоны
При возникновении дефектов на границе наноленты переходят из металлического состояния в полупроводниковое. Так как не представляется возможным добиться атомарной точности при литографии, получить металлическую наноленту до сих пор не удалось.
Эксперимент
С помощью электронной литографии из графена можно сделать узкие ленты вплоть до 20 нм.[1] Из-за квантово-размерного эффекта ширина запрещённой зоны при ширине ленты 20 нм составляет 28 мэВ. При уменьшении ширины наноленты можно добиться большей ширины запрещённой зоны, поскольку она обратно пропорциональна ширине. Здесь электронной литографии не хватает, и был предложен химический метод получения графеновых нанолент из графита.[3] Используя этот метод, можно создать наноленты с гладкими границами и шириной менее 10 нм.[14] Эти транзисторы, где использовалась высоколегированная подложка кремния в качестве обратного затвора, показали отношение тока в открытом и закрытом состоянии около 106 при комнатной температуре. Из-за барьера Шотки между металлическим контактом (Pd или Ti/Au) и графеном сопротивление контактов составило около 60 кОм для нанолент шириной около 2,5 нм, а оценённая подвижность носителей около 100 см²В−1с−1.
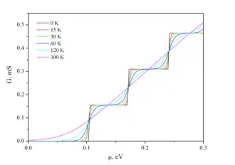
Для наноленты длиной 850 нм и шириной 30 нм был измерен кондактанс (проводимость) как функция затворного напряжения, при приложенном постоянном смещении в 10 мВ[15]. Кондактанс на комнатной температуре имел гладкую V-образную характеристику, но при понижении температуры до 90 К проявились несколько плато квантования с шагом 1.7 μСм. Это квантование кондактанса связано с образованием подзон размерного квантования в узких лентах шириной , когда волновой вектор частиц квантован в поперечном направлении , где — целое число. Энергия квазичастиц в одномерных подзонах описываются выражением
где — постоянная Планка, — Ферми скорость, — волновой вектор, связанный с движением вдоль наноленты, — параметр, который зависит от кристаллографической ориентации. Ширина запрещённой зоны равна
где — расстояние между уровнями. Кондактанс наноленты описывается следующим выражением
- ,
где — коэффициент прохождения носителей для каждой подзоны, — функция распределения Ферми — Дирака, μ — химический потенциал. Коэффициенты меняются ступенчатым образом, то есть когда энергия E превышает уровень размерного квантования, коэффициент становится ненулевым (для простоты взят за единицу). Благодаря температурному уширению квантование кондактанса как функция энергии Ферми (химического потенциала), а следовательно, и концентрации носителей и затворного напряжения не будет заметно при комнатной температуре при ширине наноленты 30 нм, но при более низких температурах хорошо заметно (см. рис. 3).
Примечания
- 1 2 3 Chen Zh. et. al. Graphene Nano-Ribbon Electronics Physica E 40, 228 (2007) doi:10.1016/j.physe.2007.06.020 Препринт Архивная копия от 18 августа 2016 на Wayback Machine
- 1 2 Han M. Y., et. al. Energy Band-Gap Engineering of Graphene Nanoribbons Phys. Rev. Lett. 98, 206805 (2007) doi:10.1103/PhysRevLett.98.206805 Препринт Архивная копия от 2 февраля 2017 на Wayback Machine
- 1 2 Li X., et. al. Chemically Derived, Ultrasmooth Graphene Nanoribbon Semiconductors Science 319, 1229 (2008) doi:10.1126/science.1150878
- ↑ Staley N. et. al. Lithography-free fabrication of graphene devices Appl. Phys. Lett. 90, 143518 (2007) doi:10.1063/1.2719607
- 1 2 Chung, H. C.; Chang, C. P.; Lin, C. Y.; Lin, M. F. (2016). Electronic and optical properties of graphene nanoribbons in external fields. Physical Chemistry Chemical Physics. 18 (11): 7573–7616. doi:10.1039/C5CP06533J.
- 1 2 Brey L. and Fertig H. A. Electronic states of graphene nanoribbons studied with the Dirac equation Phys. Rev. B 73, 235411 (2006) doi:10.1103/PhysRevB.73.235411 Препринт
- ↑ Nakada K. et al., Edge state in graphene ribbons: Nanometer size effect and edge shape dependence Phys. Rev. B 54, 17954 (1996) doi:10.1103/PhysRevB.54.17954
- ↑ Katsnelson M. I. Conductance quantization in graphene nanoribbons: Adiabatic approximation Eur. Phys. J. B 57, 225 (2007) doi: 10.1140/epjb/e2007-00168-5 Препринт
- ↑ Fujita M., Wakabayashi K., Nakada K. and Kusakabe K. (1996). Peculiar Localized State at Zigzag Graphite Edge. Journal of the Physics Society Japan. 65 (7): 1920. Bibcode:1996JPSJ...65.1920F. doi:10.1143/JPSJ.65.1920.
{{cite journal}}: Википедия:Обслуживание CS1 (множественные имена: authors list) (ссылка) - ↑ Chung, H. C.; Lee, M. H.; Chang, C. P.; Lin, M. F. (2011). Exploration of edge-dependent optical selection rules for graphene nanoribbons. Optics Express. 19 (23): 23350–63. arXiv:1104.2688. Bibcode:2011OExpr..1923350C. doi:10.1364/OE.19.023350. PMID 22109212.
- ↑ Barone V. et al., Electronic Structure and Stability of Semiconducting Graphene Nanoribbons Nano Lett. 6, 2748 (2006) doi:10.1021/nl0617033
- ↑ Son Y. et al., Energy Gaps in Graphene Nanoribbons Phys. Rev. Lett. 97, 216803 (2006) doi:10.1103/PhysRevLett.97.216803
- ↑ Son Y. et al., Half-metallic graphene nanoribbons Nature 444, 347 (2006) doi:10.1038/nature05180
- ↑ Wang X., et. al. Room-Temperature All-Semiconducting Sub-10-nm Graphene Nanoribbon Field-Effect Transistors Phys. Rev. Lett. 100, 206803 (2008) doi:10.1103/PhysRevLett.100.206803 Препринт Архивная копия от 2 февраля 2017 на Wayback Machine
- ↑ Lin Y.-M. cond-mat